美联储抗通胀赢了吗?
核心观点
美联储确认了在今年启动降息是合适的,而六月份是一个很关键的降息决策窗口期。在议息会议后,Fed Watch数据显示,6月美联储不降息以及降息25bp的概率分别是25.1%和67.4%,前值分别为40.9%和55.6%。
当经济总体上预期较好时,通货膨胀率将自我强化,重要途径之一是通胀预期将会自我强化。而通胀预期将会受到一些具体粘性指标的拖累,具有较强的韧性。而经验数据显示,劳动力成本可能不会像其他通胀因素那样快速下降。能源价格和中美关系不稳定,让通胀继续下降的前景充满了挑战。因此,很难说,美联储加息抗通胀已经取得胜利。因此,市场的降息预期起起伏伏,而降息落地的时间一再延后。
比较现实的做法是,美联储将仔细评估最新数据、不断变化的前景和风险平衡。此外,美联储将继续按照其先前公布的计划减持国债、机构债务和机构抵押支持证券(减缓缩表的速度,即变相宽松)。总之,美联储当前的要务是“淡化了通胀风险,深化了对增长的乐观预期”,以保证通胀与增长之间的平衡。这一点是市场乐意看到的,因为这有益于在降息落地之前风险资产的行情上扬。
01
背景介绍
美国东部时间3月20日,美联储确认了在今年启动降息是合适的,而且表露今年降息3次且每次25bp的可能性。那么,六月份是一个很关键的降息决策窗口期。本次会议几乎没有展露出任何的鹰派信号,市场在会议前所担忧的二次通胀风险并未进入美联储的视野。在议息会议后,Fed Watch数据显示,6月美联储不降息以及降息25bp的概率分别是25.1%和67.4%,前值分别为40.9%和55.6%。
为应对疫后大通胀,美联储强势加息,以促使通胀水平向2%左右的“平均通胀目标”靠拢。通货膨胀爆发的原因有很多,在2021年,供应链中断和货币财政刺激计划起着最重要的作用,而疫情大流行造成了供应冲击,这就是通货膨胀在2021年飙升的原因。疫后刺激计划和低利率水平引致通胀攀升至较高水平。
美联储依靠加息等紧缩政策,在降低通货膨胀方面取得了实质性进展。通胀水平,无论是名义物价还是表征实际购买力的PCE通胀率等,均向3%或更低的水平靠近。
可是,美联储对抗通胀算是胜利了吗?未来美联储的政策路径可能是什么?我们先给出对第一个问题的理解:尽管对抗通胀最近取得了进展,但仍有多种潜在风险来源,可能导致通货膨胀率保持在2% 以上。因此,现在美联储宣布胜利还为时过早。
具体而言,我们想强调潜在风险的三个主要方面——通货膨胀预期,劳动力成本和外部冲击,而前两个方面将更为重要。在此之后。我们将回答美联储未来应该做什么以及是否应该提高通胀目标的问题。
02
通胀预期
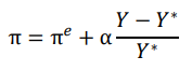
通货膨胀预期在现代理论中起着重要作用,因为它几乎影响着经济的每个部分。如果工人预期通货膨胀率较高,他们将要求更高的工资并花费更多;如果公司预期通货膨胀率较高,他们将投资更多并要求的价格作为补偿。菲利普斯曲线告诉我们:

当经济达到其潜在产出 (Y=Y *)时,我们有 π = πe,这意味着通胀预期是自我实现的。因此,如果经济总体上预期较好,通货膨胀率将自我强化,并将实际通货膨胀率推向高于2% 目标的水平。因此,美联储必须确保通胀预期与其通胀目标一致。然而,事实证明,政策效果对美联储来说并不理想。
自2009年7月以来的5年通胀预期数据显示,因为长期通胀预期对短期冲击不太敏感。我们观察到,在通胀2021年飙升之后,预期一直远高于大流行前的平均水平2.7%。当美联储开始刺激政策后,我们在金融危机2009年后观察到同样的行为。但当美联储宣布量化宽松 (QE) 在2013年9月结束时,通胀预期立即下降。然而,当量化宽松在2022年 3月再次结束时,情况并非如此。
作为通货膨胀预期的另一个前景,亚特兰大联储发布的粘性价格CPI包括许多与生活息息相关的细分类别。由于这些价格通常对不断变化的经济状况反应缓慢,因此它们对未来通胀水平具有较好的预测能力,而该指标具有较强韧性。
总之,美国的通胀预期仍高于大流行前的水平。因此,美联储要实现 “软着陆”,即通胀降至其2% 目标而不致萧条,美联储必须密切关注通胀预期,并注重政策引导。
03
劳动力成本
虽然美国在大流行爆发后没有劳动力市场产生通胀,但现在可能正在发生,美联储应该意识到这一点。由于劳动力市场过去没有推高通货膨胀,如果这种情况在未来发生,那么新的通货膨胀来源将使通货膨胀长期具有韧性。
自从大流行来袭以来,我们观察到劳动力市场紧张,自2021年以来,职位空缺和新增就业数据很高。在此期间,文职人员的薪酬增长名义上保持在较高水平。这种增长被高通胀率所补偿; 因此,在过去两年中,劳动力市场对通货膨胀的贡献不大。虽然劳动力市场在2023年7月开始降温,但我们也观察到劳动力成本的增加: 2023年6月,平民工人的薪酬 (12个月,不变美元) 上涨了1.6%。我们可以发现,与PCE通胀相比,大流行以来劳动力薪酬增长幅度较小,然而,在2022年之后,它并没有降低那么多,这表明实际劳动力成本可能不会像其他通胀因素那样快速下降。
04
就业问题
但此次美联储可能再一次更换了自己的参考系,更关注此次就业市场走弱的情况。2月美国失业率上涨,但非农就业人数大幅上涨,且非农就业人数与小非农就业人数ADP之间逐渐背离。非农就业数据统计的是政府部门和私人部门的就业人数,小非农就业数据统计的是私人部门的就业人数,二者的背离体现的是疫情过后,美国的灵活就业和兼职人数大幅增加。而且目前最新研究认为考虑了移民因素后,美国潜在新增就业水平或在16-20万人,这是此前美联储预计水平的约两倍。
05
外部风险
除了上述内部风险外,我们还预测了一些外部风险: 能源价格和中美关系。能源价格的下降一直是通货膨胀率下降的重要原因。然而,地缘政治不确定性,以及原油低库存导致原油价格上涨具有很强的弹性。
自2000年代以来,中国一直是美国最重要的贸易伙伴之一,中国一直向美国出口许多商品。然而,最近美中关系的负面发展可能会导致进口中国制成品的减少,导致价格可能上涨。在这种情况下,通货膨胀也会高于预期。
06
美联储应该怎么做?
提高通胀目标有各种各样的理由。有些人可能会争辩说,2% 目标可能会导致利率降低,将目标提高到3% 将意味着美联储在需要时有更大的降息空间。其他人担心加息,而利率远高于中性水平可能会导致经济衰退,因此应该提高通胀目标。
我们判断美联储不会采取提高通胀目标的建议。正如美联储主席鲍威尔在多种情况下所强调的那样,在通胀远高于通胀目标的情况下,提高通胀目标将有可能削弱货币政策的整体有效性。现在改变目标意味着央行承认他们无法实现之前设定的通胀目标,这将使新目标的可信度降低。
美联储将仔细评估最新数据、不断变化的前景和风险平衡。此外,美联储将继续按照其先前公布的计划减持国债、机构债务和机构抵押支持证券。美联储坚决致力于将通胀恢复到2%的目标水平。总之,美联储当前的要务是“淡化了通胀风险,深化了对增长的乐观预期”,以保证通胀与增长之间的平衡。
最新资讯
-
04-07
拓多品类仓储再下一城:物流园区镁锭仓储业务正式落地
-
04-07
镁市周评(3.29~4.04)清明时节到,镁市春意浓
-
04-04
2026年4月3日镁报价及周评:本周镁市场延续强劲上行态势,强势运行格局进一步固化...
-
04-04
周涨500元!4月3日镁价再续涨势,轻金属风口下后市可期
-
04-04
连涨两日!镁合金四月开门红,为何机构集体看好?
-
04-04
每日镁价(4.1)
-
04-04
硅铁周评:稳中震荡回落 跌幅相对有限
-
04-04
金属镁周评:连续两周上涨 累涨已达八百
-
04-04
Mysteel调研:硅铁盘面震荡 原料走势各异(4月3日)
-
04-04
Mysteel日报:硅铁市场成本端坚挺 需求仍显韧性
-
04-04
Mysteel日报:原料端坚挺 镁合金市场偏强运行
-
04-04
SMM尚镁网周评(3.30-4.3): 镁市延续稳步回升
-
04-04
镁产业高质量发展座谈会举行
-
04-04
万丰奥威:镁合金产品多年来已配套应用在5G通信领域客户 2025整体业务稳健发展...
-
04-04
SMM/尚镁网金属镁定价标准暨镁合金应用价格研讨会圆满举办!...
-
04-04
镁领未来,青阳县人民政府亮相AICE 2026铝博会,以政策赋能产业发展...
-
04-04
供应偏紧需求回暖 本周镁价稳步上行破 17500【SMM镁周评】
-
04-04
合铸镁好生态 共塑镁好未来—— 2026镁产业链与镁市场论坛在合肥召开...
-
04-04
SMM:镁合金需求持续增长推动金属镁供需格局逆转 中长期镁价中枢稳步上移...
-
04-04
需求爆发与成本支撑,消费市场将成为镁价的主导变量
-
04-04
半固态成型引爆镁合金轻量化革命
-
04-04
镁市回顾(3.30-4.3日)
-
04-04
里程碑式突破“镁代铝”!凤阳爱尔思联合长安汽车等成功试制超大型镁合金电驱壳体...
-
04-04
曹娅晴赴巢湖宝镁调研指导
-
04-04
华为问界M6上市——国内首次应用半固态镁合金结构件
-
04-04
瑞格金属——从“镁”出发 向“绿”而行
-
04-04
宝钢金属牵头制定三项关键镁合金团体标准,助力新能源汽车轻量化加速发展...
-
04-04
镁市场:周三镁市,高位稳挺
-
04-04
【金属镁】日评(4.1):下游观望情绪升温,镁价窄幅震荡...
-
04-04
金属镁 周评(3.30-4.3):行业看涨预期升温,金属镁价格迅速上调...
-
04-04
3月镁价阶梯上行背后的供需与成本逻辑
-
03-30
沪陕榆三方携手共建陕西翎镁新材共启镁合金新材料产业新征程...
-
03-30
镁市场:周一镁市,坚挺上扬
-
03-30
煤价涨势放缓 市场观望升温
-
03-30
基本金属周报|中东电解铝供应确定性收缩,关注左侧布局价值...